<aside> 🔗 toc
https://github.com/chokcoco/iCSS
</aside>
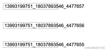
在业务中,有这么一种场景,表格下的某一列 ID 值,文本超长了,正常而言会是这样:
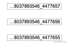
通常,这种情况都需要超长省略溢出打点,那么,就会变成这样:
但是,这种展示有个缺点,3 个 ID 看上去就完全一致了,因此,PM 希望能够实现头部省略打点,尾部完全展示,那么,最终希望的效果就会是这样的:
OK,很有意思的一个需求,最开始我以为只是实现一个头部超长溢出打点功能,但是随着实践,发现事情并没有那么简单,下面我们就一探究竟。
direction 实现头部超长溢出打点正常而言,我们的单行超长溢出打点,都是实现在尾部的,代码也非常简单,像是这样:
<p>Make CSS Ellipsis Beginning of String</p>
p {
overflow: hidden;
text-overflow: ellipsis;
white-space: nowrap;
}
这里,我们可以通过 direction,将省略打点的位置,从尾部移动至头部:
p {
direction: rtl;
}
<aside> <img src="/icons/command-line_lightgray.svg" alt="/icons/command-line_lightgray.svg" width="40px" /> 结果如下:
</aside>
简单介绍一下 direction:
direction:CSS 中的 direction 用于设置文本排列的方向。rtl 表示从右到左 (类似希伯来语或阿拉伯语), ltr 表示从左到右。另外两个与排版相关的属性还有:
writing-mode:定义了文本水平或垂直排布以及在块级元素中文本的行进方向。unicode-bidi:它与 direction 非常类似,两个会经常一起出现。在现代计算机应用中,最常用来处理双向文字的算法是Unicode 双向算法。而 unicode-bidi 这个属性是用来重写这个算法的。OK,那么上述需求,是不是简单的添加一个 direction: rtl 就能解决问题呢?我们尝试一下。
direction: rtl 会导致使用下划线 _ 连接的数字内容排版错误